Z trhu miznú nové šarže dojčenskej výživy značky BEBA. Hygienici upozorňujú na možnú kontamináciu toxínom, ktorý môže ohroziť zdravie najmenších. Rodičia by mali skontrolovať výrobné čísla a dotknuté produkty okamžite prestať používať.
Úrad verejného zdravotníctva (ÚVZ) SR informoval o preventívnom sťahovaní ďalších výrobkov značky BEBA zo slovenského trhu. Ide o produkty z kategórie počiatočnej a následnej dojčenskej výživy, ako aj o potraviny určené na osobitné lekárske účely. Informuje o tom na svojej webovej stránke.
Dôvodom je zistený nebezpečný toxín
Podľa hygienikov ide o výrobky spoločnosti Nestlé, ktorých pôvod je v Nemecku. Laboratórne analýzy preukázali prítomnosť toxínu cereulide, ktorý je dôvodom ich stiahnutia z predaja.
„Podľa varovného oznámenia RASFF ide o výrobky značky Nestlé, krajina pôvodu Nemecko, výrobca Nestlé Nutrition GmbH, Nestlé Deutschland, ktoré sa z uvedeného dôvodu na základe vykonaných laboratórnych analýz, ktorými bol zistený toxín cereulide, sťahujú z trhu,“ uviedol ÚVZ.
Hygienici upozorňujú, že kontaminácia potravín cereulidom môže viesť k rôznym zdravotným ťažkostiam.
Aké zdravotné riziká hrozia?
Najčastejšie sa môžu objaviť:
- nechutenstvo,
- nevoľnosť,
- vracanie,
- výrazná únava a malátnosť.
Zároveň však upozorňujú, že nie je možné vylúčiť ani vážnejšie zdravotné následky, najmä u dojčiat.
Regionálne úrady verejného zdravotníctva už preverujú, či boli dotknuté výrobky stiahnuté aj u obchodných partnerov spoločnosti Nestlé.
„Príslušné regionálne úrady verejného zdravotníctva overujú stiahnutie u obchodných partnerov Nestlé vo svojom regióne podľa distribučného zoznamu. Zákazníci majú možnosť vrátiť potravinu u predajcu, kde ju zakúpili,“ ozrejmil ÚVZ.
Ktoré výrobky sú konkrétne stiahnuté?
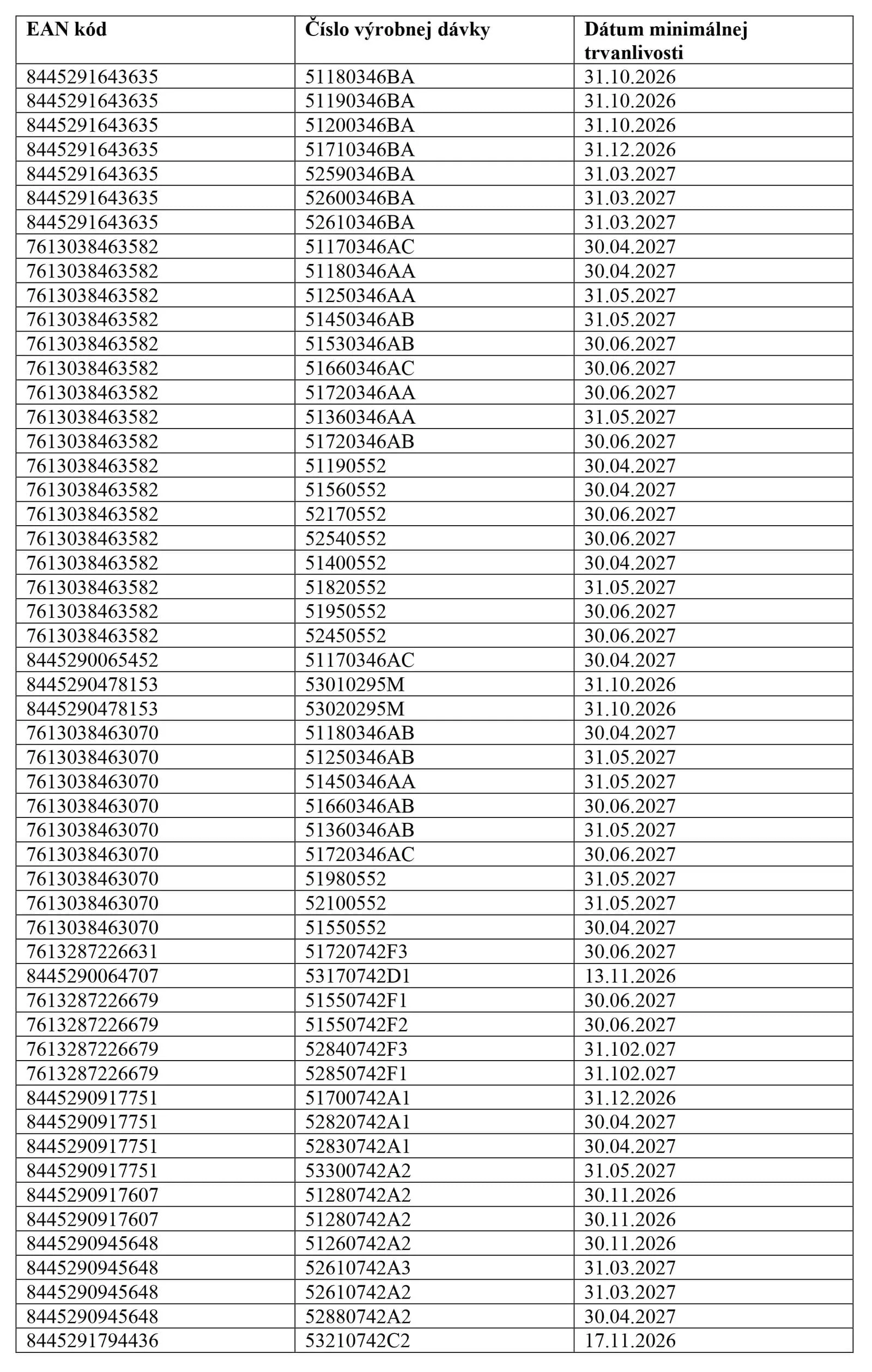
Stiahnutie sa aktuálne týka týchto produktov:
- BEBA supreme PRE, 800 g – výrobná dávka L51460742F1
- BEBA expert PRE, 550 g – výrobná dávka L51700742A1
- BEBA Frühgeborenen Nahrung – výrobná dávka 53020742C1
Podľa príloh k systému RASFF sa preventívne sťahujú aj ďalšie výrobky z radov BEBA pre, BEBA expert, BEBA comfort a BEBA supreme.

Hygienici zároveň uviedli, že nie všetky výrobky uvedené v oznámení RASFF sa dostali aj na slovenský trh. Napriek tomu ÚVZ dôrazne odporúča, aby rodičia dotknuté šarže nepoužívali na prípravu stravy pre dojčatá.


